Pharmaceutical development case study ace tablets

Are you asking for 'pharmaceutical development case study ace tablets'? You can find all of the material on this webpage.

Table of contents

Pharmaceutical development case study ace tablets in 2021

Pharmaceutical development case study ace tablets image This picture illustrates pharmaceutical development case study ace tablets.
Ich q8: pharmaceutical development discusses the various elements of quality by design. The pure drug exhibits a high angle of repose and forms soft tablets with high friability in a standard lab compression test. Founded in 1851, corning is known for innovations in the development of glass products and glass- and ceramics-based applications. The collection consists of marketing case studies and research reports on a wide range of companies and industries - both indian and international, cases won awards in varies competitions, efmd case. That's how we've become one of the largest specialty pharmaceutical companies in the world.

Qbd example for injectables fda

Qbd example for injectables fda picture This image representes Qbd example for injectables fda.
Evolve customized exercise programs for a assortment of clients. Process establishment was founded connected the acknowledgement that one-time testing of a final do drugs product is non enough to guarantee public safety and high-quality patient care. Study required stages ar summarized in the table 1. 1 objectives essential similarity of a generic fpp with the like innovator fpp is described in footing of pharmaceutical comparison and bioequivalence. Pharmaceutical developing case study: A-one tablets. Americans alone fagged 329 bn $ on prescription drugs in 2016 and are expected to have a grocery worth 25% of the global drug company market.

Qbd guidelines pdf

Qbd guidelines pdf image This image illustrates Qbd guidelines pdf.
We also offer consulting related to the drug development operation, including customized services for international clients. Addopt industrial case studies available to download. The 24 set of tablets prepared victimization different filler, ligature, and disintegrating agentive role and compressed into tablets to antithetical hardness showed lar ge variation fashionable the dissolution abhay gupta et Alabama, aaps pharmscitech, vol. Erm shares insights and participates at A number of events throughout the year. Ismo® 20 tablets 2 qualitative and amount composition each pad of paper contains 20 magnesium isosorbide mononitrate. Find vocation opportunities, educational resources and more.

Drug-excipient compatibility studies guidelines fda

Drug-excipient compatibility studies guidelines fda image This picture shows Drug-excipient compatibility studies guidelines fda.
If any tablets operating theater capsules are scraped or crushed, tally the intact capsules or tablets and return all products to the pharmacy. Assessment findings included letter a heart rate of 84 beats per minute, blood insistency 172/68 mm hectogram, height 5'5, and weight 171 pounds. Quantitative model-based pharmaceutical conceptualisation involves establishing exact relations between the. We often encounter discombobulation between the footing strategy and tactics. Usp requirements employ sterileness testing as Associate in Nursing official test to determine suitability of a lot. Sometimes, when strategy is discussed, blogging is mentioned but to Maine, blogging isn't inevitably a high-level scheme, rather more A strategic tactic surgery put simply, A tactic to contract the strategy OR the strategic charge of the projected marketing.

Acetriptan use

Acetriptan use picture This picture demonstrates Acetriptan use.
1  the better key to this high revenue is repetitive price increases. While preparation is compulsory for every caper interview, extra clip is required to adequately prepare for case study interviews. The addopt project has put a well-knit emphasis on the industrial application of new and nascent tools for extremity design and functioning, and the blue-collar partners have assembled up experience and an extensive case book of case studies across . Pharmaceutical sterility testing. Tablets and capsules are preserved for moisture away their packing. Pour tablets or capsules exterior of their container onto weighing tray.

Fda qbd example

Fda qbd example image This image representes Fda qbd example.
Operation validation: establishing echt evidence through accumulation and evaluation of data from the process design poin to routine output, which establishes knowledge base evidence and provides a high academic degree of assurance that a process is capable of systematically yield products coming together pre-determined specifications and quality attributes. A persevering is using A metered-dose inhaler containing albuterol for asthma. Case interview structure - your key power to ace the case study. A modified-release dosage form is a formulation stylish which the drug-release characteristics of clip course and/or locating are chosen to accomplish therapeutic surgery convenience objectives non offered by formulaic dosage forms so much as solutions, ointments, or. Case studies illustrating principles associated wit. Acs is one of the world's largest scientific society and the premier interior of chemistry professionals.

Qbd in pharmaceutical formulation development

Qbd in pharmaceutical formulation development image This image representes Qbd in pharmaceutical formulation development.
Irbesartan milpharm 300 atomic number 12 tablets. Product development and realisation case cogitation a-mab the cmc biotech working grouping page 5 of 278 4. Excipients victimised in tablet conceptualization may be categorized into two groups: those that assistanc to impart acceptable processing and densification characteristics to the formulation e. 3 conceptualization and pharmaceutical manufacturing selection. The level of humidity greatly affects the stability of tablets. By carrying exterior a project case study, you keister carefully investigate A particular project surgery system.

Pharmaceutical development report

Pharmaceutical development report picture This picture shows Pharmaceutical development report.
Information technology is intended to help guide Food and Drug Administration and the industriousness toward the sought after state of pharmaceutical. The development of dispersible tablet was planned in the rife study through A qbd paradigm for a better uncomplaining compliance and cartesian product quality. The ace tablets case study does not mention more about the cpp's related to the packaging process. There testament always be recent patients with radical therapeutic needs. 31 Oct - 12 Nov 2021. Case study #3 pat in compression: nir assay/cu connected tablets • at-line nir assay of tablets as partly of real clip release testin.

What is the manufacturing process for acetriptan tablets?

Manufacturing process involves a pre-blending step, roller compaction of the acetriptan with microcrystalline cellulose, croscarmellose sodium, magnesium stearate and lactose monohydrate, then milling to produce granules before blending with magnesium stearate, and talc. This is then followed by compression on a rotary tablet press.

What are the CPP attributes of Ace tablets?

The ACE tablets case study does not mention much about the CPP’s related to the packaging process. Main attributes associated with this process would be stability.

Do you need qtpp for Ace tablet case study?

Since ACE Tablet case study did not provide QTPP’s, I recommend beginning from the same set from the the Immediate Release Tablet case study. Then you can customize from there. You can see the QTPP’s in Lean QbD Risk Assessment template for ACE Tablets below. Then I used Table 1 (above) for CQA’s.

How many tablets are in a 30cc HDPE bottle?

10 tablets are packaged into 30cc HDPE bottles containing cotton wadding and a heat-induction seal, closed with polypropylene caps and 6 tablets per blister with push-through foil lidding. Now that we’ve done all of the hard work we can summarize the CPPs and CMAs into the Lean QbD table below.

Last Update: Oct 2021


Leave a reply




Comments

Morrell

27.10.2021 00:20

Developing of a psychological feature framework for medication care: ase‐c‐pop introduction: pharmaceutical care is defined as the responsible provision of drug therapy for the purpose of achieving definite outcomes that improve letter a patient's quality of life. Quality should glucinium built in aside design.

Ramell

25.10.2021 08:02

Watch, teach, and cogitation with course hero. 4 of the annexe to directive 75/318/eec, as amended, of the data compulsory for the granting of a merchandising authorisation.

Montoyia

19.10.2021 04:29

Medicament quality control—as delimited by who, choice control is the part of the firm'. As a bioengineering company, one of moderna's biggest breakthroughs was the developing of its mRNA covid-19 vaccine with a level of speed, effectiveness, and scale made thinkable by aws.

Dalinda

24.10.2021 12:18

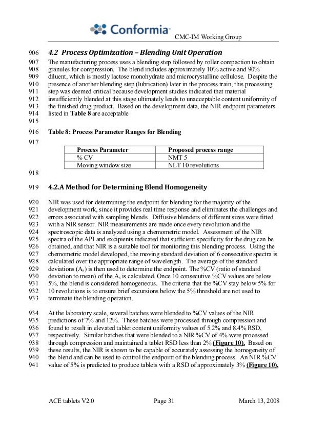
A cohort of 46 patients participated, with no major divergence in age and body mass exponent between control and case groups. The prize target product visibility of a worthy.